在线客服
客服1
客服2
客服3
客服4
产品
拼多多
淘宝
全部产品分类
L-型 氨基酸(45)
DL-型 氨基酸(25)
D-型 氨基酸(29)
特殊氨基酸(14)
乙酰基氨基酸(9)
氨基醇类(15)
氨基酸衍生物(8)
多肽类(5)
BOC保护氨基酸(30)
CBZ保护氨基酸(25)
FMOC保护氨基酸(27)
多肽合成用试剂(16)
多肽合成用树脂(12)
缓冲试剂(37)
ACES
ADA
2-氨基-2-甲基-1-丙醇(AMP)
AMPD
AMPSO
BES
BES Na salt
BICINE
Bis-Tris
CAPS
CAPS钠盐
CAPSO
CHES
DIPSO
HEPES
更多...
碳水化合物(73)
N-乙酰-氨基葡萄糖
七叶苷
N-乙酰-氨基甘露糖
D-阿拉伯糖
L-阿拉伯糖
D-纤维二糖
甲壳素
壳聚糖
α-环糊精
β-环糊精
β-羟丙基-环糊精
γ-环糊精
2-脱氧-D-核糖
二硫代赤藓醇
二巯基苏糖醇,DTT
更多...
蛋白质(24)
牛血清白蛋白
牛血清白蛋白(第五部分)
鸡蛋清白蛋白
亲和素
酪蛋白
胶原蛋白
伴刀豆球蛋白
细胞色素C
铁蛋白(马脾)
明胶
血红蛋白(牛血)
组蛋白
牛胰岛素
粘蛋白(牛颌下腺)
植物血球凝集素
更多...
酶及辅酶(70)
β-淀粉酶(枯草杆菌)
抑肽酶(牛肺)
碳酸酐酶(牛红细胞,牛红血球)
羧肽酶B(猪胰)
过氧化氢酶(牛肝)
纤维素酶(绿色木霉)
纤维素酶R-10
胆碱酯酶
胰凝乳蛋白酶(牛胰)
胰凝乳蛋白酶原
磷酸肌酸激酶(兔肌)
胶原酶
β-葡聚糖酶
脱氧核糖核酸酶I(牛胰)
弹性蛋白酶(猪胰)
更多...
抗生素(22)
氨苄青霉素钠(5)
羧苄青霉素二钠(6)
氯霉素(10)
G418 硫酸盐(26)
庆大霉素硫酸盐(13)
潮霉素B(14)
卡那霉素硫酸盐(15)
新霉素硫酸盐(17)
制霉菌素(19)
青霉素G 钠盐(20)
多粘菌素硫酸盐B(21)
利福平,利发霉素(23)
链霉素硫酸盐(24)
链脲佐菌素(28)
四环素盐酸盐 (25)
更多...
分离材料及耗材(56)
透析袋 25MD
透析袋 34MD
透析袋44DM
透析袋
透析袋夹
塑料瓶(圆,白色,保险盖)
大口塑料瓶(圆,白色,保险盖)
大口塑料瓶(方,黑色避光,保险盖)
大口塑料瓶(方,黑色避光,保险盖)
大口塑料瓶(方,黑色避光,保险盖)
大口塑料瓶(方,白色半透明,保险盖)
大口塑料瓶(圆,白色半透明,罗口盖)
小口塑料瓶(圆,白色半透明,罗口盖)
称量纸
封口薄膜
更多...
核酸(36)
腺嘌呤磷酸盐
硫酸腺嘌呤
腺苷
5’-腺苷二磷酸二钠盐
5-腺苷一磷酸二钠盐
5-腺苷一磷酸(AMP)
5-腺苷三磷酸二钠盐
四氧嘧啶一水
6-氯嘌呤
环胞苷盐酸盐
胞苷(胞嘧啶核苷)
胞嘧啶
2-脱氧腺苷(一水)
2-脱氧胞苷盐酸盐
2-脱氧鸟苷(一水)
更多...
培养基基础及工业发酵培养基(26)
细胞培养基(0)
植物组织培养基(29)
细菌培养基(336)
色素(45)
吖啶橙
吖啶黄素
阿尔新兰8GX
氨基黑10B
苯胺蓝(水溶)
溴甲酚绿
溴甲酚紫(溴甲酚红)
派洛宁 B
派洛宁 Y
罗丹明B
溴酚蓝
藏红T
溴百里酚蓝(溴麝香草酚蓝)
刚果红
百里酚蓝
更多...
表面活性剂(12)
十六烷基三甲基溴化铵(CTAB)
十六烷基吡啶盐酸盐
十二烷基三甲基溴化铵(DTAB)
大豆卵磷脂 粉状
十二烷基硫酸锂
润湿剂P-40(NP-40)
聚氧乙烯月桂醚(Brij-35)
十二烷基硫酸钠
月桂酰基肌氨酸钠(十二烷基肌氨酸钠)
曲拉通x-100
吐温20
吐温 80
更多...
维生素(25)
维生素C
VC钠盐
D-生物素
肉毒碱,VBT
维生素 D3
氰钴胺素
维生素D2
叶酸
异烟酸
异烟肼
甲萘醌
烟酰胺
烟酸
D-泛酸钙
盐酸吡哆醛
更多...
植物激素(27)
玉米素
脱落酸
矮壮素
氯吡苯脲
丁酰肼
2,6-二氯靛酚(DCIP)
(2,4-二氯苯氧基)乙酸
6-糠氨基嘌呤(6-KT)
3-吲哚乙酸(IAA)
3-吲哚丁酸(IBA)
青鲜素
乙酸-α-萘酯
α-萘乙酸(NAA)
多效唑(PP333)
噻苯隆(TDZ)
更多...
辅料(18)
玉米淀粉
α-环糊精
羟丙基-β-环糊精
糊精
乙基纤维素
羟乙基纤维素
羟丙甲基纤维素
羟丙纤维素-低取代
硬脂酸镁
薄荷脑
甲基纤维素
微晶纤维素
聚丙烯酸树脂II
聚丙烯酸树脂III
聚丙烯酸树脂IV
更多...
其他试剂(59)
乙酰丁香酮
氯化乙酰胆碱
盐酸甜菜碱
鹅去氧胆酸
胆酸(牛)
胆固醇
氯化胆碱
肌酐
肌酸(一水物)
磷酸肌酸二钠(四水)
去氧胆酸钠
焦碳酸二乙酯
3,5-二硝基水杨酸
5,5-二巯基-2,2二硝基苯甲酸
乙二胺四乙酸二钾
更多...
首页
关于我们
特价优惠
产品中心
新品推荐
订货指南
联系我们
当前位置:
首页
>
产品中心
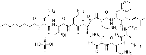
多粘菌素硫酸盐B(21)
Cas:
1405-20-5
产品编号:
K1670
产品别名:
硫酸多粘菌素B;多胜菌素乙
英文名称:
Polymyxin B sulfate
分子式:
C
5
6
H
1
0
分子量:
1301.56
参考价格
编号
含量
规格
包装
价格
产地
备注
K1670
>6000u/mg
BR
100mg
60
国
2-8℃
K1670
>6000u/mg
BR
1g
255
国
2-8℃
产品详情
质检报告(COA)
MSDS
相关产品
性状:
白色至类白色或微黄色粉末;无臭或几乎无臭。有引湿性。在水中易溶,在乙醇中微溶,在丙酮、氯仿或乙醚中几乎不溶。
储存条件:2~8℃
用途:
生化研究。多粘菌素
B
为抗革兰阴性杆菌多肽类抗生素
,
可以改变膜结构使小分子物质泄漏而抑制革兰氏阴性菌的生长。对大肠杆菌具有杀菌作用。结合到细菌脂多糖类的脂质
A
部分。在外皮细胞膜诱发小孔。
作用模式
:
结合并干涉细胞质膜的渗透性。抗菌谱
:
革兰式阴性细菌。
其它规格请按需询价
点击查看质检报告(COA)
多粘菌素硫酸盐B Polymyxin B sulfate
上海源聚生物科技有限公司 版权所有(C)2004 网络支持
华夏化工网
后台管理
沪ICP备18032012号-1
友情链接:
Guidechem化工
版权声明
企业主号